CROMA-rubrique-plateforme 2022

THz Characterization Unit

 
THz-TDS Characterization

Time-domain terahertz spectroscopy (THz-TDS) enables, in a single free-space measurement of a picosecond electromagnetic pulse, the probing of a very broad frequency range, typically between 100 GHz (0.1 THz) and 5 THz, with a spectral resolution on the order of a few gigahertz.

We have two THz-TDS spectrometers (Teraview LX and Toptica TeraFlashPro) that allow measurements in transmission, reflection, as well as angle and polarization-resolved configurations.
These techniques enable the characterization of device responses as well as the determination of optical parameters (complex refractive index) and dielectric properties (complex permittivity) of materials [1].


Figure 1 : A gauche : principe d’une expérience de type THz-TDS en transmission. À droite : indice de réfraction (rouge) et absorption (bleu) d’un mélange d’acide bromo-cinnamique et de PEHD [2].

Figure 1: Left – Principle of a THz-TDS transmission experiment. Right – Refractive index (red) and absorption (blue) of a mixture of bromo-cinnamic acid and HDPE [2].

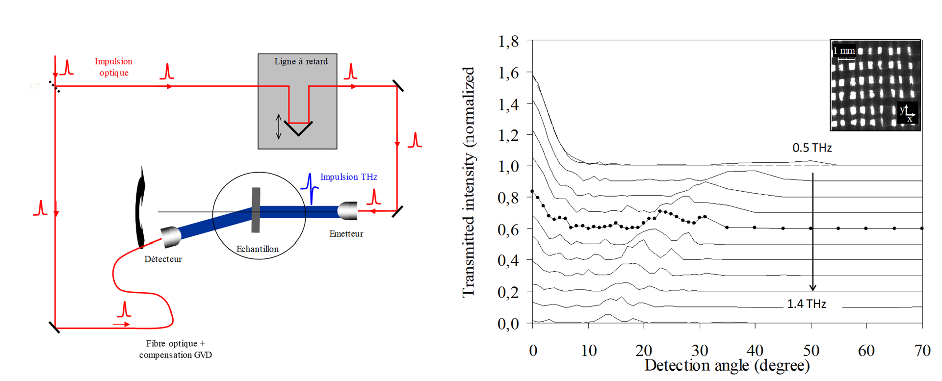
Figure 2 : A gauche : principe d’une expérience de type THz-TDS résolue en angles. À droite : mesure de la diffraction par un morceau de tissus (laine) via une mesure de THz-TDS en transmission résolue en angle [3].

Figure 2: Left – Principle of an angle-resolved THz-TDS experiment. Right – Measurement of diffraction by a piece of fabric (wool) using angle-resolved THz-TDS in transmission mode [3].

References:

  • L. Duvillaret, F. Garet, J.L. Coutaz, "A Reliable method for extraction of Material Parameters in THz Time-Domain Spectroscopy", IEEE Journal of Selected Topics in Quantum Electronics, 2, pp. 739-746 (1996).
  • R. Malek-Rassoul, F. Garet, P. Fromentin, "Differentiation of structurally compounds using terahertz spectroscopy", IRMMW2008 International Conference on Infrared and Millimeterwave – Pasadena – USA (15-19 September 2008)
  • Emilie Hérault, Maxence Hofman, F. Garet and Jean-Louis Coutaz, “Observation of terahertz beam diffraction by fabrics”, Opt. Lett., 38, 15, (sept. 2013)
THz-CW Characterization

Terahertz frequency-domain spectroscopy (THz-CW – Continuous Waves) enables the exploration of a broad frequency range, typically from 50 GHz up to nearly 3 THz, with a spectral resolution that can reach a few MHz. We use a THz-CW spectrometer (Toptica TeraScan 1550) capable of performing both transmission and reflection measurements, allowing for the characterization of device responses as well as optical (complex refractive index) and dielectric (complex permittivity) properties of materials.

Figure 3 : Banc de caractérisation THz-CW

Figure 3 : Banc de caractérisation THz-CW

Tunable UV–IR optical-pump / THz-probe system characterization

This technique simultaneously employs an ultrashort optical pulse (femtosecond) to excite a material, and a THz pulse (THz-TDS) to probe the relaxation dynamics back to equilibrium. To this end, we use a THz-TDS setup based on an amplified femtosecond laser (Coherent LIBRA) coupled with an Optical Parametric Amplifier (OPA), enabling excitation over a wide energy/wavelength range, from 0.48 eV / 2.6 µm to 4.35 eV / 285 nm. The relaxation dynamics are then probed using a THz pulse with a typical spectral range between 100 GHz and 3 THz.
Figure 3 : A gauche : principe d’une expérience de type pompe optique – sonde THz. A droite : évaluation expérimentale de la vitesse des pièges de surface dans GaAs <110> (points noirs) en fonction de l’énergie de l’impulsion optique femtoseconde de pompe

Figure 3: Left – Principle of an optical-pump / THz-probe experiment. Right – Experimental evaluation of surface trap velocity in GaAs <110> (black dots) as a function of the femtosecond optical pump pulse energy – calculated surface state density (dashed lines) [4].

References:

  • D. Zhai, E. Hérault, F. Garet, J.-L. Coutaz “Surface-state-related carrier dynamics of GaAs determined by UV-visible pump-probe terahertz spectroscopy “, Applied Physics Letters, Vol.124, Issue 16, https://doi.org/10.1063/5.0198347, DOI: 10.1063/5.0198347.

Link to PLATERA web site

- Update in progress -